Ir para o conteúdo.
|
Ir para a navegação
Ferramentas Pessoais
Navegação
Câmara Municipal
Câmara Municipal de Antonio Olinto - PR
Acessar
Mapa do Site
Acessibilidade
Contato
Contraste
VLibras
Busca
Busca Avançada…
Página Inicial
Ouvidoria
Perguntas Frequentes
Últimas notícias
Recomendações Administrativas Eleitorais
SAPL Sistema de Apoio Legislativo
Carta de Serviços ao Usuário
Você está aqui:
Página Inicial
/
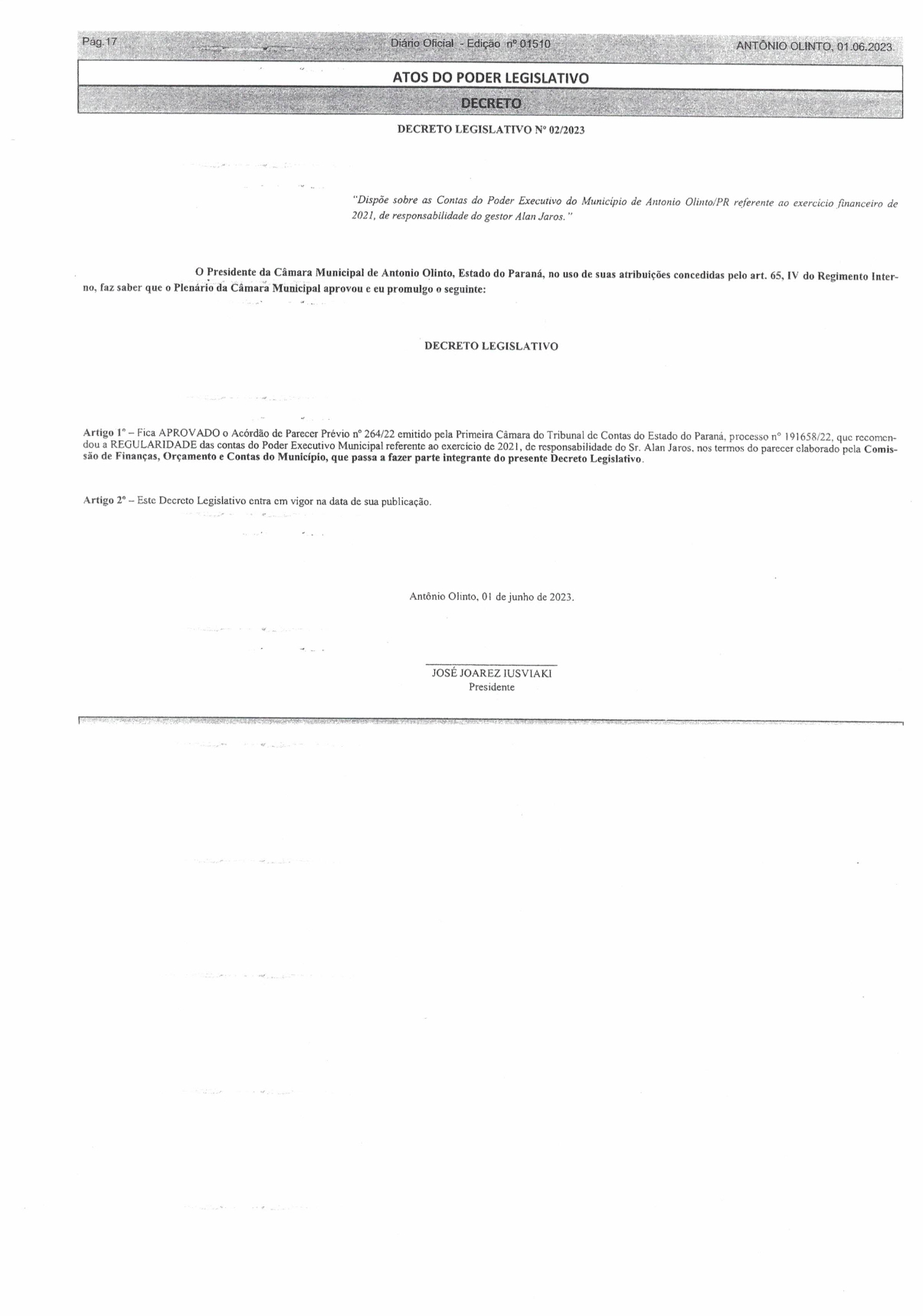
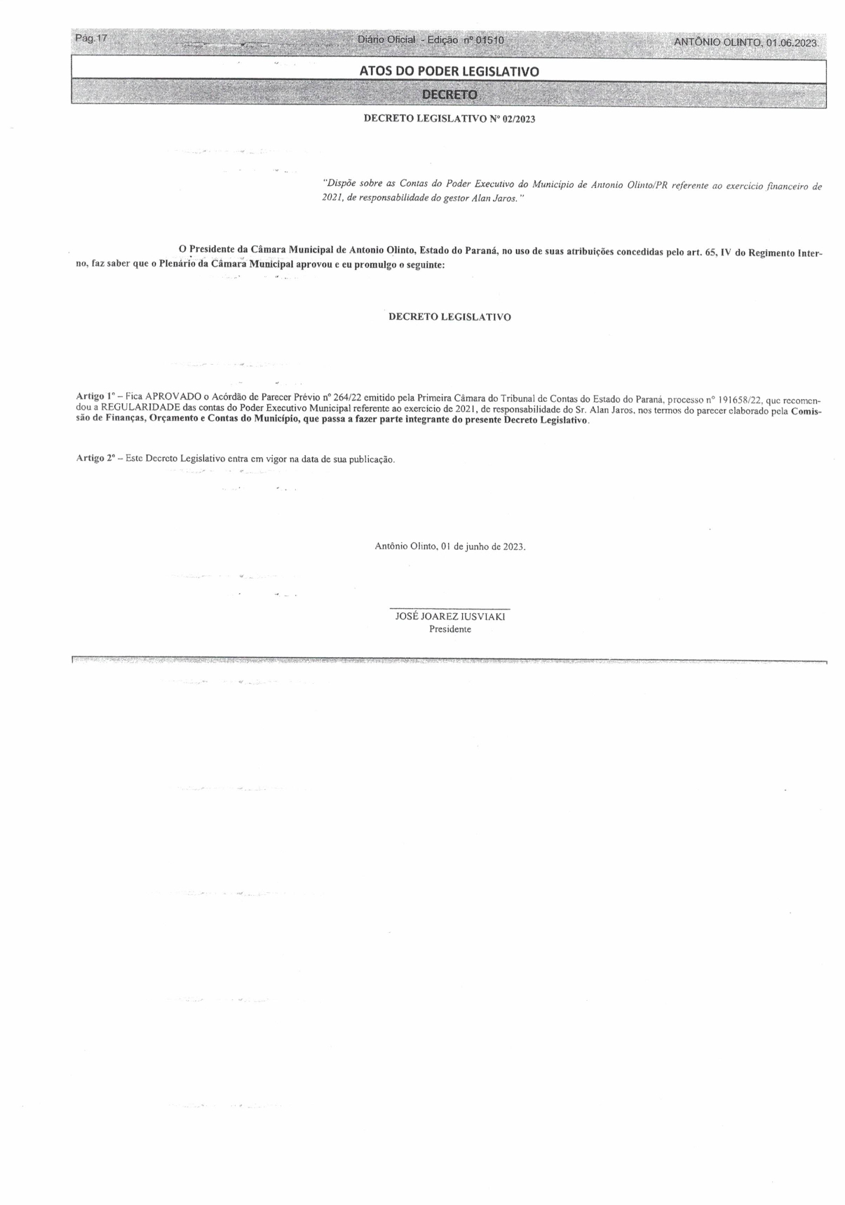
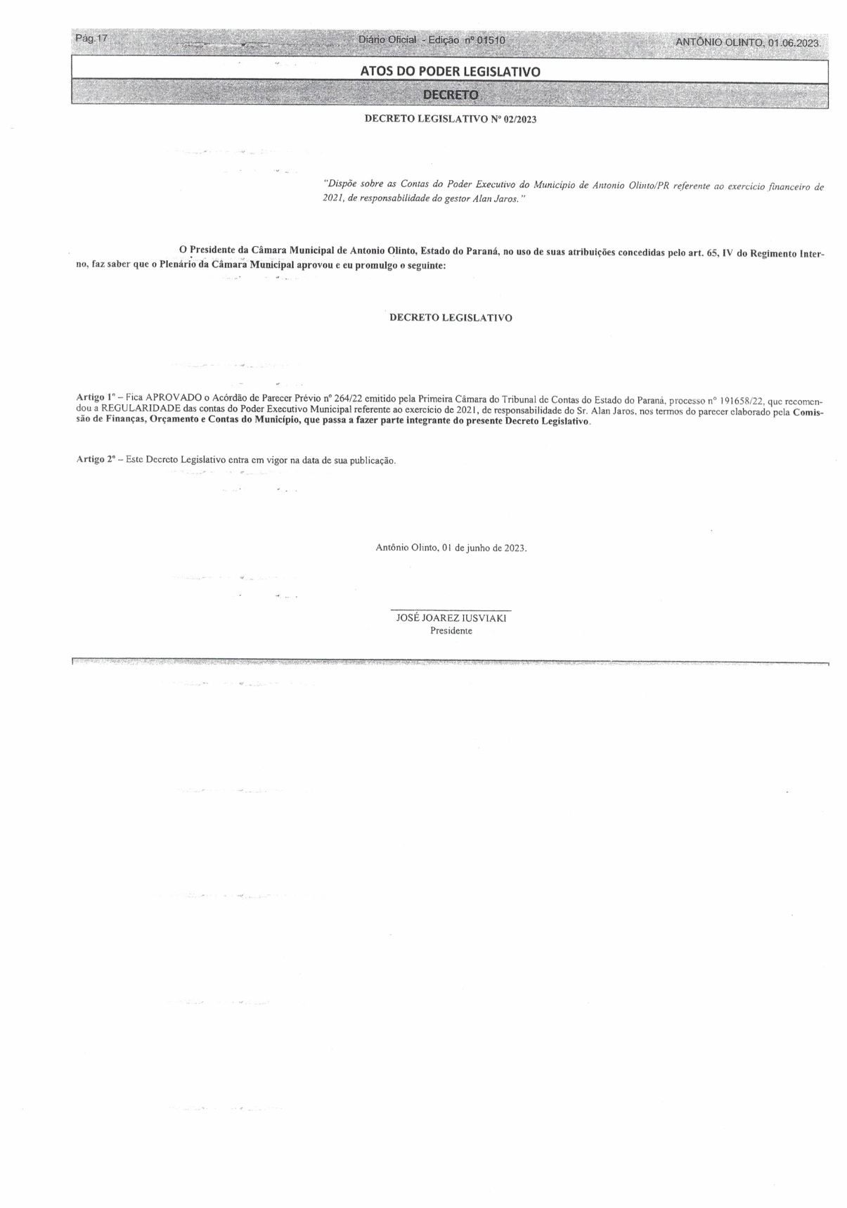
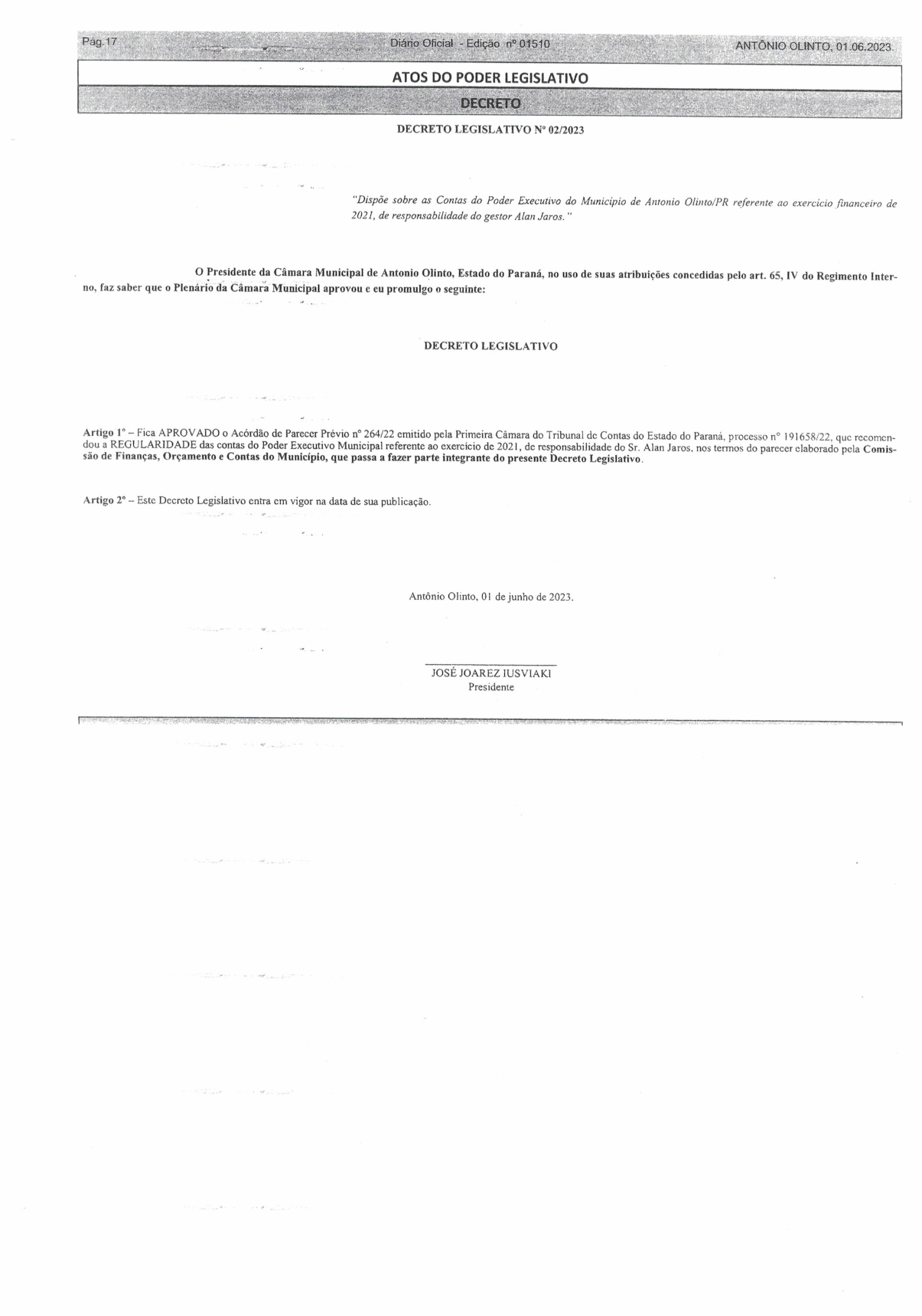
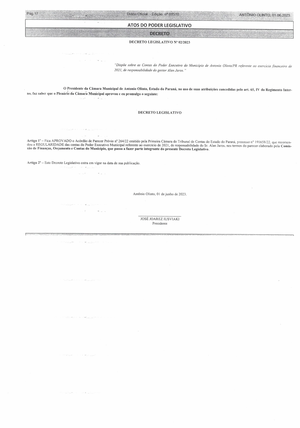
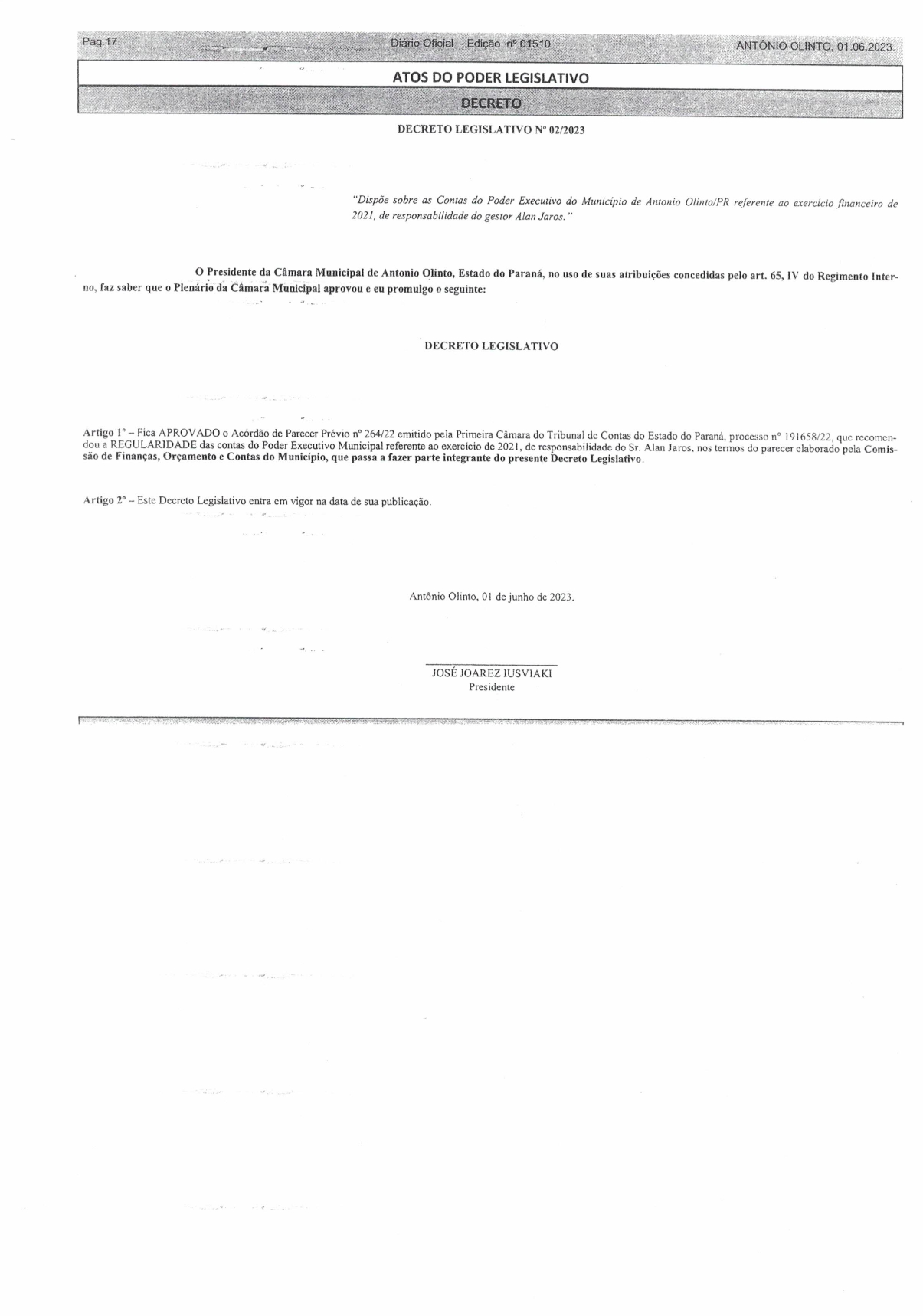
copy_of_DecretoLegislativo02202305062023_page0002.jpg
Info
por
Câmara Municipal de Antonio Olinto
—
última modificação
22/11/2023 16h37
Imagem no tamanho completo:
300 KB
|
Visão
Download